97国际

胸怀梦想·心系康健 胸怀梦想·心系康健
胸怀梦想·心系康健
承继“诚信、合作、生长、共赢”的谋划理念 ,为人类康健事业不懈起劲。
这是形貌信息

产品中心

产品形貌

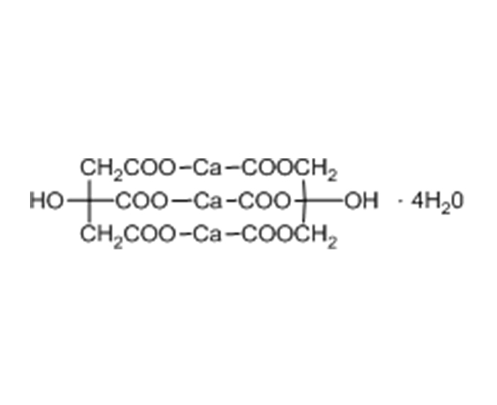
分子式:C12H10Ca3O14·4H2O

CAS号:5785-44-4

产品类型:营养类

包装规格:25公斤/桶

产品标准:CP ,USP

相关产品

上一页
1
2
13

留言反响

已停用

Copyright 2016 ? wanbang.com.cn All Rights Reserved.

互联网药品信息服务资格证书:(浙)-非谋划性-2023-0143 问卷视察  网站建设:中企动力 台州

Verification 浙ICP备12004244号-3
网站地图